第7版:文化公园
3上一版  下一版4
本版标题导航
第7版:文化公园
2023年6月26日 放大 缩小 默认        

宋湘的红杏山房 在梅城?

●刘奕宏

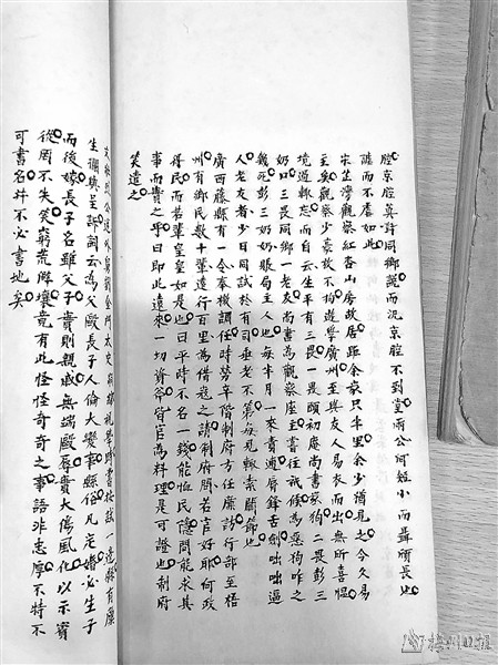
近读本邑先贤张麟定《楚香馆杂缀》稿本,见有清代翰林,著名诗人、书法家宋湘逸闻一则(如图),兹移录如下:

宋芷湾观察红杏山房,距余家只半里,余少犹见之,今久易主矣。观察少豪放不羁(拘),游学广州,与友人易衣而出,无所喜愠,境过辄忘。而自云平生有三畏,一畏颐初庵尚书家狗,二畏彭三奶口,三畏同乡一老友。尚书为观察座主,尝往祗候,为恶狗咋之几死。彭三奶,账局主人也,每半月一来责逋,唇锋舌剑,咄咄逼人。老友者,少日同试于有司,垂老不第,每见辄索关节也。

按张麟定,字眉叔,梅城攀桂坊人氏,清道光己酉年举人,著有《谈梅》《楚香馆杂缀》等著作,晚年参与光绪《嘉应州州志》的编纂启动工程。据估测,张麟定的少年时代则在嘉庆晚年的1820年左右,其时宋湘在云南曲靖知府任上,情况宽裕,是有可能在梅城,即嘉应州州城购置物业,供子弟居住读书的,其子宋晖纶即考中辛未年(1811年)嘉应州秀才。张麟定的家在东郊三坑约留馀堂,两者相距不过250米,则宋湘购置的房产位于梅城郊区。即使以张麟定的祖屋楼下塘张屋作为坐标,则宋湘的红杏山房也在东较场一带。东较场的东北侧,今尚存地名宋塘,当地原有一座老屋,是宋姓人居住,门口有一口塘,故名。今宋姓人已经他迁,老屋卖与当地刘姓居民作祖屋,与门口一口古井均尚存。这极有可能是宋湘当年购置的物业红杏山房旧址,而水塘目前则填平建设廉租房居住小区。

需要说明的是,张麟定著作中所云宋湘座师为颐初庵有误,宋湘广东乡试考中解元的座师,即主考官为初彭龄,号颐园。为乾隆四十五年进士。历官编修、御史、云南巡抚、刑部侍郎、内阁学士,道光年间擢兵部尚书。因此,称呼初彭龄为“初颐庵尚书”,则较为合适,当为张麟定笔误。从这个故事可知,宋湘的“三畏”主要发生在他中举前后,以及在广州读书和中进士后掌教惠州丰湖书院、广州粤秀书院期间。

从张麟定的介绍可知,宋湘的红杏山房后来转卖于他人,这有可能与宋湘后人的生活家境不顺畅,两个儿子先后早逝有关。宋湘在梅城教子岃的墓地也因后人家境不顺的原因,后来迁回白渡重新安葬。不过这则宋湘在梅城有置业的记载,也从一个侧面解释,宋湘去世后,其后人为何会在梅城为他营造安息之地,提供了一个理由和线索。

 
 
上一篇  下一篇  
 
关闭